当前位置:首页 > 用户服务 > 过刊查询 > 过刊查询财务研究 > 《财务研究》2025年第06期 > 《财务研究》2025年第06期文章 > 正文时间:2025-12-11 作者:杜兴强 赖少娟 闫维艳
[大]
[中]
[小]
摘要:
“一带一路”倡议与创新国际化
杜兴强 赖少娟 闫维艳
收稿日期:2025-08-29
基金项目:国家社科基金重大项目(20&ZD111)
作者简介:杜兴强,厦门大学管理学院教授,博士生导师;
赖少娟,厦门国家会计学院副教授;
闫维艳,通讯作者,厦门大学管理学院博士后。
摘要:“一带一路”倡议促进了创新要素的国际流动配置和创新国际合作,为我国的创新国际化带来了新机遇。本文以此为准自然实验背景,采用多时点双重差分模型,实证检验了“一带一路”倡议对我国创新国际化的影响。研究发现,“一带一路”倡议实施显著增加了我国在东道国基于专利合作条约(Patent Cooperation Treaty,简称PCT)的国际专利申请,揭示了“一带一路”倡议促进了我国的创新国际化。进一步地,“一带一路”倡议对我国创新国际化的积极影响在创新能力较强的东道国更加突出。机制分析发现,“一带一路”倡议能通过提高贸易自由度进而提升创新国际化。异质性分析表明,“一带一路”倡议对创新国际化的促进效应在地理距离较近、双边贸易较多、设施联通较多、研发投入强度较高的东道国更加突出。本文揭示了“一带一路”倡议对创新国际化的推动作用及其影响...
“一带一路”倡议与创新国际化
杜兴强 赖少娟 闫维艳
收稿日期:2025-08-29
基金项目:国家社科基金重大项目(20&ZD111)
作者简介:杜兴强,厦门大学管理学院教授,博士生导师;
赖少娟,厦门国家会计学院副教授;
闫维艳,通讯作者,厦门大学管理学院博士后。
摘要:“一带一路”倡议促进了创新要素的国际流动配置和创新国际合作,为我国的创新国际化带来了新机遇。本文以此为准自然实验背景,采用多时点双重差分模型,实证检验了“一带一路”倡议对我国创新国际化的影响。研究发现,“一带一路”倡议实施显著增加了我国在东道国基于专利合作条约(Patent Cooperation Treaty,简称PCT)的国际专利申请,揭示了“一带一路”倡议促进了我国的创新国际化。进一步地,“一带一路”倡议对我国创新国际化的积极影响在创新能力较强的东道国更加突出。机制分析发现,“一带一路”倡议能通过提高贸易自由度进而提升创新国际化。异质性分析表明,“一带一路”倡议对创新国际化的促进效应在地理距离较近、双边贸易较多、设施联通较多、研发投入强度较高的东道国更加突出。本文揭示了“一带一路”倡议对创新国际化的推动作用及其影响机制,拓展了相关领域的研究文献,对共建“一带一路”高质量发展以及促进创新国际化具有一定启示。
关键词:“一带一路”;创新国际化;创新能力;贸易自由度
中图分类号:F125;F204 文献标识码:A 文章编号:2095-8838(2025)06-0060-17
随着“一带一路”倡议的扎实推进,中国与“一带一路”沿线国家在科技人文交流、技术转移和创新合作方面取得了显著成效,科技创新合作已成为“一带一路”国家应对发展挑战、实现科技创新发展的共同选择。“一带一路”倡议实施后,以中国为中心的创新国际合作密集活跃,创新国际化趋势凸显。在此背景下,研究“一带一路”倡议对创新国际化的影响具有重要意义。
现有关于“一带一路”倡议与创新的文献主要从以下角度展开:基于企业视角,“一带一路”倡议促进了企业高质量创新(吕越和田冀霖,2023),企业技术创新(刘振和黄丹华,2021;朱兢等,2022),企业合作创新(余长林和孟祥旭,2022),企业创新投入、创新产出和创新效率(李延喜等,2020),促进了我国企业与沿线国家的跨国协同创新(黄宏斌等,2024)。基于沿线国家视角,“一带一路”倡议显著提升了沿线国家的创新能力(李光勤等,2023)。基于中国与沿线国家科技创新合作视角,中国与“一带一路”沿线国家跨国专利合作日益频繁、技术合作水平逐渐提升、影响力不断提高(张明倩和邓敏敏,2016),已形成覆盖“一带一路”沿线范围较广的跨国专利合作网络(张明倩和柯莉,2018),但合作广度和强度表现出明显的不均衡性(陈欣,2019)。综上,前期研究侧重于分析“一带一路”倡议对企业层面创新的影响和描述分析了中国与沿线国家的科技创新合作,但对于“一带一路”倡议实施是否以及如何影响中国在东道国的创新国际化,则缺乏必要的理论阐释和经验检验。本文的目的则是实证研究“一带一路”倡议对创新国际化的影响及其作用机制,借以丰富相关领域的研究文献。
本文以“一带一路”倡议作为准自然实验,运用多时点双重差分法实证分析“一带一路”倡议实施对创新国际化的影响。研究发现,“一带一路”倡议显著提高了以PCT国际专利申请量为代表的创新国际化,意味着“一带一路”倡议提升了中国在东道国的创新国际化程度。研究设计满足平行趋势假设,研究结果通过安慰剂检验、堆叠DID、替换变量、增加控制变量以及倾向得分匹配后仍然稳健。机制分析发现,“一带一路”倡议通过提高贸易自由度进而提升创新国际化。此外,异质性分析发现,“一带一路”倡议对创新国际化的促进效应主要体现在地理距离较近、双边贸易较多、设施联通较多、研发投入强度较高的东道国,说明“一带一路”倡议在以上国家对创新国际化产生了更大的边际作用。
本文可能的贡献主要体现在:(1)利用“一带一路”倡议这一外生事件,采用多时点双重差分模型检验了“一带一路”倡议对创新国际化的影响,提供了“一带一路”倡议影响创新国际化的经验证据。现有文献更多从企业(李延喜等,2020;刘振和黄丹华,2021;吕越和田冀霖,2023)、东道国(李光勤等,2023)、中国与东道国合作(张明倩和邓敏敏,2016;张明倩和柯莉,2018;陈欣,2019)等角度评估“一带一路”倡议对创新的影响,而本文关注“一带一路”倡议对我国创新国际化(主要体现在中国在东道国的国际专利申请数量)的影响,拓展了“一带一路”倡议经济后果的相关文献。(2)从“一带一路”倡议视角丰富了创新国际化影响因素的研究。现有文献研究了东道国特征(王展硕和谢伟,2017;陈衍泰等,2017;司月芳等,2023)、经济开放度(温军和张森,2018)、股票市场开放(万源星等,2023)等对创新国际化的影响,本文则通过考察“一带一路”倡议对创新国际化的影响,发现“一带一路”倡议这一宏观政策也是影响创新国际化的关键因素。(3)从贸易畅通角度揭示了“一带一路”倡议影响创新国际化的作用机制。“一带一路”倡议通过提高贸易自由度,推动了国际贸易畅通,促进了创新资源要素的流动配置,增加了创新国际交流与合作,进而促进了创新国际化。这在一定程度上回答了如何加强创新国际合作、推进创新国际化等问题。(4)从地理距离、双边贸易、设施联通、研发投入强度四个维度探讨了“一带一路”倡议在不同东道国影响创新国际化的差异性,进一步增进了对“一带一路”倡议影响创新国际化的认识和理解,为创新主体在不同东道国跨国创新提供借鉴,对政府部门促进创新国际化及共建“一带一路”高质量发展提供了参考。
(一)制度背景
2013年,习近平总书记提出共建“丝绸之路经济带”和“21世纪海上丝绸之路”的倡议。“一带一路”倡议坚持共商共建共享原则,积极推动沿线各国开放合作、共同发展,而科技合作是其重要组成部分。早在2015年,“一带一路”倡议相关文件中就明确了“加强科技合作,共建联合实验室(研究中心)、国际技术转移中心、海上合作中心,促进科技人员交流,合作开展重大科技攻关,共同提升科技创新能力”。2016年,我国发布《推进“一带一路”建设科技创新合作专项规划》,提出了近期、中期、远期战略目标,明确了密切科技人文交流合作,加强合作平台建设,促进基础设施互联互通,强化合作研究等重点任务。2023年10月,习近平总书记宣布中国将继续实施“一带一路”科技创新行动计划,并提出中国支持高质量共建“一带一路”的八项行动,其中就包括推动科技创新。
十多年来,我国与沿线国家加强创新合作,共建“一带一路”,创新合作成果显著。截至2023年6月底,中国与80多个共建“一带一路”国家签署《政府间科技合作协定》。截至2025年9月,“一带一路”国际科学组织联盟(ANSO)成员单位达78家。随着“一带一路”科技创新合作的持续深入,创新国际合作越来越多,为创新国际化带来了积极影响。
(二)文献综述
1.“一带一路”倡议与创新
已有研究从企业和国家不同角度探讨了“一带一路”倡议对创新的影响。研究发现,“一带一路”倡议提高了中国企业的研发创新(王桂军和卢潇潇,2019)。从动态演变过程看,“一带一路”倡议对企业创新投入、创新产出和创新效率的边际影响呈逐年递增趋势(李延喜等,2020)。此外,“一带一路”倡议不仅能够促进中国企业创新数量的增加,还能促进创新质量的提升(李芳芳和冯帆,2023)。朱兢等(2022)发现“一带一路”倡议促进了企业的实质型技术创新与策略型技术改良,化解了一段时间以来本土企业“量与质不可兼得”的困境。杨波和李波(2021)发现“一带一路”倡议通过提高研发投入、提升市场竞争力度、推进价值链攀升等提高了企业专利创新数量和质量,从而促进了企业创新升级。刘振和黄丹华(2021)揭示了“一带一路”倡议通过企业创新资金和获取人才资源促进了企业技术创新,高管海外背景在其中起到正向调节作用。吕越和田冀霖(2023)认为“一带一路”倡议通过缓解融资约束、促进合作创新、优化已有创新成果促进了企业高质量创新。赵甜和曹守新(2023)的研究表明“一带一路”倡议通过提高内部吸收能力和外部合作网络,进而显著提升了企业创新效率。黄宏斌等(2024)发现“一带一路”倡议通过促进要素流动和降低跨国协作成本促进了企业跨国协同创新。余长林和孟祥旭(2022)发现“一带一路”倡议通过提高信贷可获得性、研发投入强度、国际人才交流、供应链环境,进而促进了参与企业的技术创新、合作创新。
基于国家角度的已有研究中,陈欣(2019)对“一带一路”沿线国家科技合作网络进行比较发现,科技合作网络初具规模,但合作广度和合作强度存在不均衡性,网络密度低、平均距离短,网络中核心国家基本为经济较发达国家。刘卫东等(2023)对中国与“一带一路”沿线国家的科技合作情况分析后发现深层次科技合作潜力还需进一步挖掘,提出加强科技创新资源、成果分享,加快构建“一带一路”科技合作新格局。在跨国专利合作方面,张明倩和邓敏敏(2016)发现中国初步确立了专利合作网络的核心地位,影响力不断提升,跨国专利活动存在地域上的非均衡性,但地域间差异在不断缩小。张明倩和柯莉(2018)发现“一带一路”已形成覆盖国家范围广、内部联系密集的专利合作网络。在对东道国创新能力影响方面,李光勤等(2023)的研究结果表明,“一带一路”倡议通过影响沿线国家经济规模和政府治理能力,进而显著提升了沿线国家的创新能力。
综上所述,现有“一带一路”倡议对创新的影响研究多集中在企业微观层面,也有少量研究探讨了中国与沿线国家的创新合作以及“一带一路”倡议对东道国创新能力的影响。然而,鲜有文献探讨“一带一路”倡议对我国在国家层面上创新国际化的影响。
2.创新国际化
创新国际化包括创新制度和组织网络的国际化、创新主体互动和创新活动的国际化、创新资源流动和配置的国际化等多个维度(刘云等,2014)。创新国际化能够促进知识、人力、资本以及新技术等研发资源在不同国家之间跨境配置(王展硕和谢伟,2017)。因此,创新国际化已成为企业集聚全球创新资源、提升自主创新能力的重要方式(杨修和朱晓暄,2019)。长期以来,发达国家是创新国际化的主要推动者,近年来发展中国家也积极探索创新国际化以实现技术追赶和跨越(徐晨和吕萍,2013)。
学者们对于创新国际化的动因持有不同观点,主要包括寻求技术和寻求市场。寻求技术倾向于在技术先进国家设立研发机构,以便获得当地独特的技术和人才,并从行业先进竞争对手那里获得知识溢出效应(Cantwell和Piscitello,2005)。寻求市场则在拥有客户群的东道国设立研发机构,开展研发活动,主要是利用已有知识生产新产品以满足当地需求(Shimizutani和Todo,2008)。此外,学者们还分析了发达国家和新兴市场国家创新国际化的动因差异(Awate等,2015;王展硕和谢伟,2017),发达经济体进行创新国际化主要考虑技术和市场需求(Awate等,2015),相比之下,新兴经济体则主要出于寻求海外创新资源,获取科技人才及探寻生产资料,增强创新能力和提高研发效率(杜红平等,2015)。
Urbig等(2022)发现在创新国际化过程中,新兴市场国家对寻求市场的关注程度低于发达经济体国家,因为其相对技术地位阻碍了对国外市场进行开发,新兴市场国家更注重寻求技术战略。然而,新兴市场国家创新国际化的动因并非一成不变。王展硕和谢伟(2017)提出中国企业研发国际化经历着从技术探索向市场开拓,再向全球技术领导者的方向演化。司月芳等(2020)发现海外先进技术资源获取是中国企业早期创新国际化的主要驱动力,进入成熟阶段后,开拓东道国及全球市场成为创新国际化的动力,进入东道国及全球市场后,中国企业通过创新国际化建立核心技术优势满足全球市场需求。Minin等(2012)提出中国研发国际化的过程,其动机从纯粹的技术寻求演变为将技术与东道国研发融合,最后在东道国进行技术开发,这种演变与发达国家的路径相反。
创新国际化除了受到主观动因的驱动外,还受到其他客观因素的影响。王展硕和谢伟(2017)提出东道国的经济发展水平、市场规模、研发资源禀赋、研发实力和对外开放程度等会影响创新国际化决策。陈衍泰等(2017)认为跨国公司在进行创新国际化区位选择时,会考虑东道国市场规模、技术成就、研发人力成本等因素。司月芳等(2023)研究表明东道国GDP、研发占比、东道国华人比例、投资规模等影响创新国际化,创新环境越好的国家越容易吸引海外知识获取。刘雅珍等(2024)发现,国家间信任程度对国际合作创新成果具有积极影响。温军和张森(2018)发现经济开放度对国际技术创新具有促进作用,在经济开放过程中,具有国际业务的企业能够学习和借鉴国际先进技术,与外国主体开展研发合作;此外出于抢占国际市场的目的,这些企业有动力加强海外专利布局以获取国际竞争力。万源星等(2023)发现股票市场开放引入外国投资者产生的“迎合效应”和“资源效应”促进了企业研发国际化。王叶等(2022)发现知识产权示范城市实施能够降低专利申请难度和成本以及提升城市创新能力,进而促进创新国际化。
综上所述,现有研究对创新国际化及其动因和影响因素进行了许多讨论。研究普遍认为新兴市场国家为寻求技术在发达国家开展创新国际化,然而近年来中国的研发技术创新表现出向“一带一路”沿线国家转移和扩散的趋势。现有研究缺乏对我国在“一带一路”沿线国家创新国际化影响因素和机制的探讨。
(三)理论分析与研究假设
“一带一路”倡议有助于将国内的创新活动延伸至国外,嵌入全球创新网络,促进创新国际化。第一,“一带一路”倡议为国际创新合作及创新国际化提供了制度保障。“一带一路”倡议能够改善成员国的营商环境和制度环境,减少成员国间的制度风险(李光勤等,2023),为创新主体嵌入全球创新网络、进行跨国协同创新创造了有利条件(黄宏斌等,2024)。第二,中国与沿线国家签署“一带一路”倡议的合作文件,为各国进行技术交流、创新活动提供了平台。十多年来,“一带一路”沿线国家的知识产权合作不断深化。“一带一路”倡议搭建的政策交流与沟通机制,加强了沿线国家(地区)的数字通信专利等合作(谢刚等,2022),为国际科技合作提供了广阔空间(李芳芳和冯帆,2023)。在“一带一路”合作平台下,共建联合实验室、科技园区合作等成果显著。第三,“一带一路”倡议促进了中国与沿线国家“五通”建设(周茂等,2023),通过基础设施建设、信息高速公路、科技交流等带动我国与沿线国家之间技术、人才、信息等要素流动交融,有助于降低要素周转、信息搜寻等成本(李芳芳和冯帆,2023),从而有助于推动国际创新合作。最后,“一带一路”倡议能加速中国向沿线国家技术扩散和技术溢出,从而促进创新国际化。“一带一路”沿线国家大多是发展中国家和新兴经济体,相对而言,中国的技术水平具有比较优势。“一带一路”倡议打造了创新生态系统,能够推动中国向沿线国家创新溢出,为沿线国家提供技术支持,促进创新成果转化及创新国际化。
在明确“一带一路”倡议与创新国际化的关联基础上,进一步分析“一带一路”倡议影响创新国际化的作用机制。创新的“贸易促进论”提出,国际贸易对创新具有溢出效应,即国际贸易能够促进创新(Grossman和Helpman,1990;王雄元和卜落凡,2019)。“一带一路”倡议便利了中国与沿线国家的贸易往来(曹玉鹏等,2025),优化了各国市场布局和国际分工(李芳芳和冯帆,2023);进而,贸易带动跨国主体间创新要素的集聚流动与空间溢出,推动技术在国际间的学习、借鉴和转移,并且能够促进国际合作创新,为创新提供独特而全面的机会(Li等,2022)。因此,“一带一路”倡议能够通过提升贸易自由度,从而推动中国在沿线国家创新国际化水平的提升。
“一带一路”倡议通过强化贸易自由度,对中国在沿线国家创新国际化产生以下深层次的影响:其一,“一带一路”倡议能提高贸易便利化水平,促进经贸往来,提供广阔的市场,促使创新主体提升创新国际化以满足不同东道国市场的需求。参与“一带一路”倡议可以帮助沿线企业开拓国际市场和提高国际市场影响力,使之更加具有创新国际化的动力(赵甜和曹守新,2023)。“一带一路”倡议也带来了竞争压力,为了在国际市场中获得竞争优势,需要不断扩展国际化视野,提升创新国际化水平以维持生存空间并增强市场竞争力。其二,贸易便利化能促进技术、专利、知识等创新要素跨境流动,为国际研发合作、创新国际化提供便利条件(李泽鑫和赵忠秀,2023)。其三,贸易自由化便利化不仅有助于东道国当地的异质性知识的获取和学习,也有助于中国的技术知识传递和扩散。在此基础上,根据不同国家的法律、政策和文化进行创新资源整合、技术转移和适应性创新,从而持续推动创新国际化。基于上述分析,本文提出如下假设1:
假设1:限定其他条件,“一带一路”倡议的实施能显著促进中国的创新国际化。
由于“一带一路”沿线国家自身创新能力存在差异,因此“一带一路”倡议对创新国际化的影响并非同质性的。根据吸收能力理论(Cohen和Levinthal,1990),实现创新的关键是组织获取、转化、整合并有效利用外部知识的能力。吸收能力受到外部环境和外部知识资源可得性的影响(曾雪云和叶滨,2024)。不同东道国具备不同的技术基础和创新能力,直接影响创新国际化过程中的知识获取、知识整合、知识利用。东道国创新能力越强,所获得的知识溢出可能越多(欧阳艳艳,2010)。因此,东道国的创新能力是海外研发投资区位选择考虑的主要因素(司月芳等,2020)。具体而言,东道国的技术水平越高、创新能力越强,越能够吸引其他国家在该国进行研发投资,建立研发机构(王颖等,2018);也越有利于利用东道国的技术创新能力,获得逆向技术溢出,提升创新能力(李宏和吴东松,2020),从而越有利于带动国际创新合作,提升创新国际化。此外,创新能力较强的国家更能激发创新活力。为了在创新能力较强的东道国市场获得竞争优势,需不断加大研发投入,吸收当地创新知识,开展国际创新合作,提升创新国际化。因此,本文认为“一带一路”倡议对创新国际化的积极影响在创新能力较强的东道国更突出。基于上述讨论,本文提出如下假设2:
假设2:限定其他条件,“一带一路”倡议对创新国际化的促进作用在创新能力较强的东道国更加明显。
(一)样本选择和数据来源
本文基于国家层面的宏观数据检验“一带一路”倡议对创新国际化的影响,样本区间为2009~2022年。样本起始年份为2009年,是为了避免2008年金融危机的投融资环境变化对创新的影响。剔除变量缺失的观测值后,得到了1 118个国家—年度观测值(87个国家)。
样本数据来源如下:中国是否与特定国家签署“一带一路”相关文件的数据,通过“一带一路”官方网站手工收集,国际专利申请数据来自CNRDS数据库,全球各国创新指数来自WIPO数据库,自由贸易协定数据来自CEPII数据库,贸易自由度数据来自美国传统基金会,其他控制变量均来自世界银行数据库。异质性分析中,地理距离和贸易流量数据来自CEPII数据库,设施联通和研发投入强度数据来自世界银行数据库。
(二)模型设定和变量定义
为检验假设1,本文构建多时点双重差分模型(1):

模型(1)中,被解释变量为创新国际化(PCT),采用国际专利申请数量加1取对数衡量。基于《专利合作条约》(Patent Cooperation Treaty,简称PCT)的专利申请反映了专利国际竞争力(温军和张森,2018),可以直接体现创新国际化水平(夏先良,2014;韩剑等,2023)。模型(1)的解释变量为TREAT×POST。其中,TREAT是识别处理组的虚拟变量,若特定国家与中国签署了“一带一路”的相关文件则赋值为1,否则为0。POST为特定国家与中国签署“一带一路”相关文件的时间,签署当年及以后年份为1,否则为0。模型(1)中,若TREAT×POST的系数α1显著为正,则假设1成立。
模型(1)中,控制变量包括人力资本(LABOR)、贸易开放度(TRADE)、技术水平(HTE)、制度质量(LAW)、城市化水平(URBAN)、经济发展质量(GDP)。模型(1)还控制了国家固定效应(Country)和年份固定效应(Year)。
为检验假设2,本文以东道国的创新能力(全球各国的创新指数,源自WIPO数据库)为基础,将样本按国家创新指数中位数区分为高低两个子样本,分别用模型(1)进行检验。
变量定义见表1。
表1 主要变量定义

(一)描述性统计
表2报告了变量的描述性统计结果。创新国际化变量(PCT)的均值为0.287,最小值为0,最大值为6.182,标准差为0.850,表明我国在不同国家基于《专利合作条约》(PCT)的专利申请数量差异较大。主要解释变量TREAT×POST的均值为0.349,说明加入“一带一路”的观测值约占34.9%。其他控制变量的描述性统计均在合理范围,不再详述。
表2 描述性统计

表3 “一带一路”倡议与创新国际化

注:***、**、*分别代表1%、5%、10%的显著性水平(双尾);所有t值经过White稳健调整。
(二)假设1的回归结果
表3报告了假设1的回归结果,即加入“一带一路”倡议(TREAT×POST)对创新国际化(PCT)的影响。其中,表3的第(1)列显示,TREAT×POST的系数在1%的水平上显著为正(系数=0.105,t值=3.03)。表3的第(2)列显示,TREAT×POST的系数在1%水平上显著为正(系数=0.117,t值=3.18),说明“一带一路”倡议提高了中国在其他国家的PCT国际专利申请,促进了创新国际化。第(2)列TREAT×POST的系数还表明,与没有加入“一带一路”的国家相比,中国在加入“一带一路”国家的创新国际化提升约40.8%(0.117/0.287),具有经济显著性。假设1得到支持。
表4 “一带一路”倡议与创新国际化:基于东道国创新能力的分组测试

注:***、**、*分别代表1%、5%、10%的显著性水平(双尾);所有t值经过White稳健调整。
(三)假设2的回归结果
表4报告了假设2的回归结果。其中,表4的第(1)列为创新能力强子样本的回归结果,TREAT×POST的系数在1%水平上显著为正(系数=0.201,t值=3.20);第(2)列为创新能力较弱子样本的回归结果,TREAT×POST的系数不显著。此外,组间Chow检验和系数差异检验均显著。以上结果支持了假设2,说明“一带一路”倡议对创新国际化的积极影响在创新能力较强的国家中更突出。
(四)平行趋势检验
表5 “一带一路”倡议与创新国际化的平行趋势检验

注:***、**、*分别代表1%、5%、10%的显著性水平(双尾);所有t值经过White稳健调整。
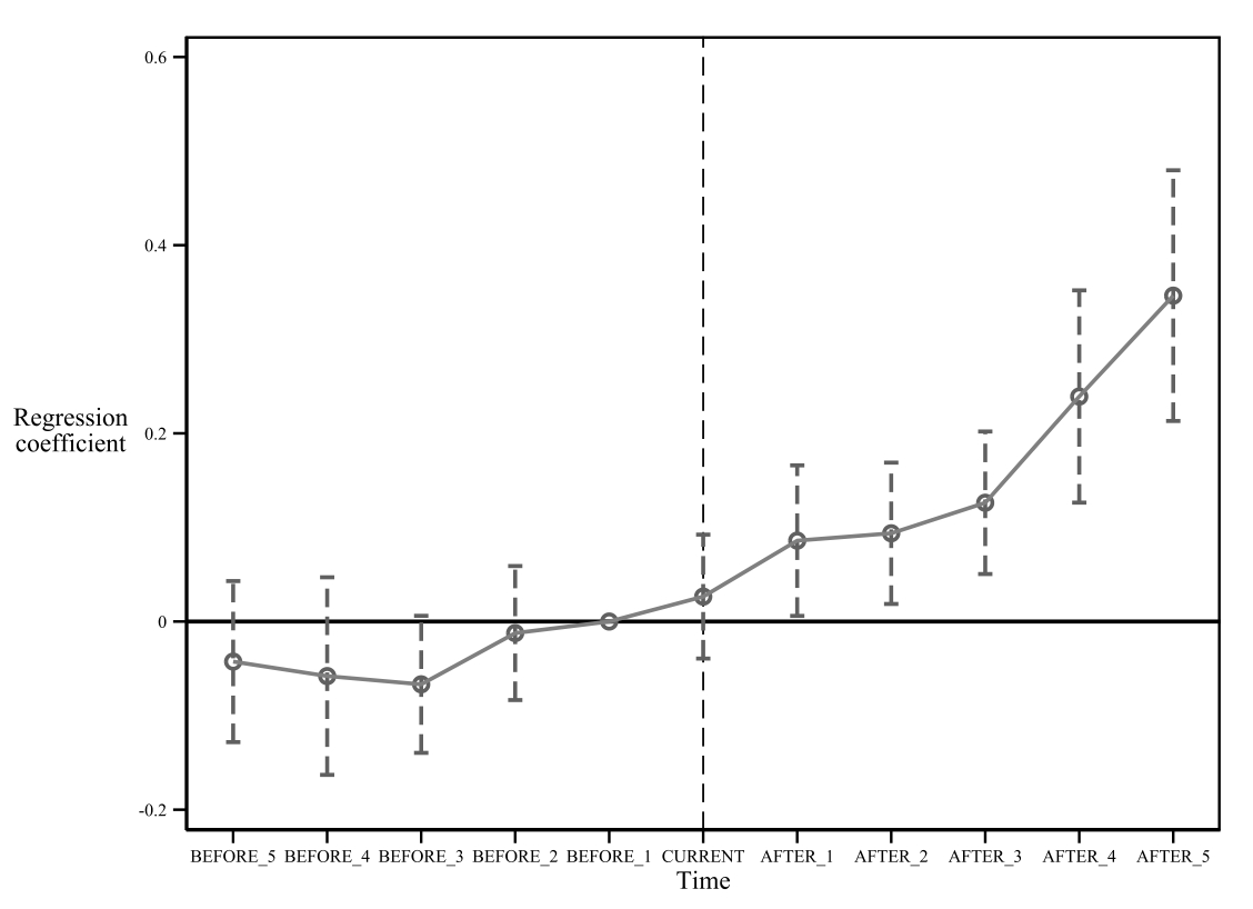
使用双重差分模型的前提是研究设计要满足平行趋势假定。为此,本文进行了如下平行趋势检验。第一,设置三类年份变量BEFORE_N、CURRENT和AFTER_N。其中,BEFORE_N(N=1、2、3、4、5,其中5包括加入“一带一路”倡议前第5年及之前年份)为虚拟变量,如果属于加入“一带一路”倡议之前N年则赋值为1,否则为0;CURRENT为虚拟变量,若为加入“一带一路”倡议当年则赋值为1,否则为0;AFTER_N(N=1、2、3、4、5,其中5包括加入“一带一路”倡议后第5年及之后年份)为虚拟变量,若属于加入“一带一路”倡议之后N年则赋值为1、否则为0。第二,生成处理组虚拟变量和年份虚拟变量的交互项:(1)TREAT×BEFORE_N;(2)TREAT×CURRENT;(3)TREAT×AFTER_N。第三,为了避免多重共线性,本文以加入“一带一路”倡议的前一期(TREAT×BEFORE_1)作为基准,将其他交互项作为解释变量加入模型(1)进行回归。在表5关于平行趋势检验的回归中,TREAT×BEFORE_N(N=2、3、4、5)的回归系数不显著,表明处理组和对照组在“一带一路”倡议冲击之前没有显著差异,TREAT×CURRENT的回归系数不显著,但TREAT×AFTER_N(N=1、2、3、4、5)的回归系数均显著为正,以上结果既满足平行趋势假设,又表明“一带一路”倡议对创新国际化的影响存在1年的滞后效应,且政策的正向影响越来越明显。
图1绘制了“一带一路”倡议对创新国际化影响的平行趋势检验图,横轴为加入“一带一路”倡议的时间轴,空心圆代表交互项的回归系数,穿过空心圆的垂直虚线代表回归系数的90%置信区间。由图1可知,在加入“一带一路”倡议的前N年,交互项的回归系数置信区间均包括0(在统计层面上不显著),表明处理组和对照组在加入“一带一路”倡议之前没有显著差异,满足平行趋势假设。加入“一带一路”倡议的当年,交互项的回归系数的置信区间也包括0,表明加入“一带一路”倡议当年对创新国际化的促进作用尚未凸显。但是,在加入“一带一路”倡议之后N年,交互项回归系数的置信区间均不包括0,且显著为正,这表明“一带一路”倡议对创新国际化具有显著正向效应。

图1 平行趋势检验
(五)安慰剂检验
表6 安慰剂检验的描述性统计

为了排除遗漏变量和随机因素对研究结果的影响,本文构建国家—年层面的随机实验,进行安慰剂检验。本文随机抽取TREAT×POST构建虚拟变量,使用模型(1)进行回归,重复此过程1 000次。表6为安慰剂检验的描述性统计,1 000次TREAT×POST的回归系数均值接近于0,t值为-0.019,不显著。图2的安慰剂检验结果图绘制了1 000次回归系数的核密度分布,回归系数集中在0附近,整体服从正态分布。表6和图2的结果表明,本文结论并非由随机因素引起的。

图2 安慰剂检验
(六)使用堆叠DID
表7报告了使用Stacked DID进行稳健性检验的回归结果。第(1)列TREAT×POST的回归系数显著为正,支持了假设1。在第(2)列创新能力较强的子样本中,TREAT×POST的系数依然显著为正,第(3)列创新能力较弱的子样本中,TREAT×POST的系数不显著,再次支持了假设2。
表7 使用Stacked DID进行稳健性检验的回归结果

注:***、**、*分别代表1%、5%、10%的显著性水平(双尾);所有t值经过公司层面聚类。
(七)其他稳健性测试
1.采用国际化专利申请数量的稳健性测试
本文以国际专利申请数量(PCT_NUM)作为因变量,使用零膨胀负二项模型进行敏感性测试。表8第(1)列中,TREAT×POST的回归系数在1%水平上显著为正(系数=1.439,z值=5.30);第(2)列创新能力较强的子样本中,TREAT×POST的回归系数在1%水平上显著为正(系数=1.018,z值=3.54);第(3)列创新能力较弱的子样本中,TREAT×POST的回归系数不显著。以上结果再次支持了假设1和假设2。
表8 使用PCT申请数量进行敏感性测试

注:***、**、*分别代表1%、5%、10%的显著性水平(双尾);所有z值经过White稳健调整。
2.使用滞后一期PCT的回归结果
“一带一路”倡议对创新国际化的影响会有滞后效应。因此本文采用滞后一年的国际专利申请数量加1取对数(PCT_LAG)作为被解释变量。表9报告了使用PCT_LAG的回归结果,假设1和假设2仍然得到支持。
表9 使用滞后一期PCT的回归结果

注:***、**、*分别代表1%、5%、10%的显著性水平(双尾);所有t值经过White稳健调整。
3.增加控制区域贸易协定的回归结果
区域贸易协定网络能够扩大对外开放、加大区域合作深度,促进国际创新活动(陈紫若等,2022)。为此,本文将区域贸易协定(FTA,若一个国家与中国签订区域贸易协定为1,否则为0)纳入控制变量。表10第(1)列TREAT×POST的系数显著为正,第(2)列创新能力较强的子样本中,TREAT×POST的系数显著为正,第(3)列创新能力较弱的子样本中,TREAT×POST的系数不显著,假设1和假设2再次被支持。
表10 增加控制区域贸易协定的回归结果

注:***、**、*分别代表1%、5%、10%的显著性水平(双尾);所有t值经过White稳健调整。
4.使用PSM-DID控制内生性
为缓解样本自选择的担忧,本文采用倾向得分匹配法(PSM)控制内生性。本文构建了一个国家是否加入“一带一路”倡议的Logistic模型,选择LABOR、TRADE、HTE、LAW、URBAN、GDP作为匹配变量,卡尺范围为0.001,按照1:1最近邻匹配进行匹配。表11的Panel A为倾向得分匹配第一阶段的结果。Panel B为倾向得分匹配的平衡性检验,匹配前主要变量的t检验差异均显著,但匹配后主要变量的t检验差异均不显著,说明样本匹配有效。表11的Panel C报告了使用匹配样本检验假设1和假设2的结果。第(1)列中TREAT×POST的系数依然显著为正,支持了假设1。第(2)列创新能力较强的子样本中,TREAT×POST的系数依然显著为正,第(3)列创新能力较弱的子样本中,TREAT×POST的系数不显著,支持了假设2。
表11 使用PSM-DID控制内生性的回归结果

注:***、**、*分别代表1%、5%、10%的显著性水平(双尾);所有t /z值经过White稳健调整。
(一)中介效应检验
前文提出,“一带一路”倡议通过促进贸易自由化便利化,促进创新要素集聚流动与空间溢出,从而推动创新国际化。为了检验这一影响机制,本文采用美国传统基金会提供的各国贸易自由度变量对“一带一路”倡议提升贸易自由度,从而促进创新国际化的作用路径进行实证检验。表12中,第(1)列报告了“一带一路”倡议对贸易自由度(TF)的影响,TREAT×POST的回归系数显著为正,表明“一带一路”倡议促进了贸易自由度。第(2)列同时加入“一带一路”倡议变量TREAT×POST和贸易自由度TF对创新国际化PCT的影响,TF的回归系数在1%水平上显著为正,表明贸易自由度在“一带一路”倡议促进创新国际化中发挥了中介效应。
表12 使用贸易自由度作为中介变量的机制检验

注:***、**、*分别代表1%、5%、10%的显著性水平(双尾);所有t值经过White稳健调整。
(二)调节效应检验
“一带一路”倡议对中国在东道国的创新国际化的影响受到各国经济发展水平、制度环境和创新资源禀赋等多个方面的影响。本文将分别从地理距离、双边贸易、设施联通、研发投入强度等角度切入,通过分组回归的方式探讨“一带一路”倡议影响创新国际化的差异。
1.地理距离
地理距离是创新国际合作的重要影响因素,地理距离邻近的国家能够获得更多创新交流及合作的机会,带动双方创新水平的提升。此外,地理距离邻近可以降低创新主体合作的交易成本,减少信息不对称,降低机会主义风险,促进知识溢出和流动,提高创新合作效率。因此,地理距离越近,越有利于开展合作创新(杨博旭等,2019)。并且国际研发溢出效应随地理距离的增加而逐渐衰减(沈能等,2019)。鉴于此,“一带一路”倡议对创新国际化的影响可能受到国家间地理空间距离的影响。本文使用CEPII数据库人口加权的地理距离,将样本分为地理距离近和地理距离远两个子样本。表13的第(1)列地理距离近的子样本中,TREAT×POST的系数在1%水平上显著为正,第(2)列地理距离远的子样本中,TREAT×POST的系数不显著,表明“一带一路”倡议对创新国际化的影响在地理距离较近的国家中更加明显,地理距离是影响二者关系的重要因素。
2.双边贸易
国际贸易会产生技术溢出效应(Grossman和Helpman,1990),进而对创新国际化产生重要影响。双边贸易是知识和技术扩散的载体,贸易增加了国际知识存量,促进了创新信息交流,能够缩短研发时间,加快技术升级过程,提高研发效率(岳书敬,2008)。双边贸易可能对创新国际化产生以下积极影响:对于进口国而言,能够以较低成本获取先进技术,通过学习和模仿进而提高进口国创新水平。对于出口国而言,只有技术创新产生新产品、新工艺,才具备出口的竞争潜力,另外,东道国的市场反馈又反过来刺激出口国进行技术迭代、更新和改进,带来新一轮的创新。此外,在双边贸易中,国际技术转让同样是技术与知识实现国际转移及扩散的重要途径。通过上述分析可知,“一带一路”倡议对创新国际化的影响可能会因双边贸易规模存在差异。因此,本文使用CEPII数据库的贸易流量衡量双边贸易,将样本分为双边贸易多和双边贸易少两个子样本进行检验。表13的第(3)列双边贸易多的子样本中,TREAT×POST的系数在1%水平上显著为正,在第(4)列双边贸易少的子样本中,TREAT×POST的系数不显著,表明“一带一路”倡议对创新国际化的影响在双边贸易较多的国家中作用更加明显。
表13 基于地理距离和双边贸易的异质性分析

注:***、**、*分别代表1%、5%、10%的显著性水平(双尾);所有t值经过White稳健调整。
3.设施联通
设施联通为各国的合作交流提供基本保障(周茂等,2023),更有利于开展创新国际合作,促进创新国际化。设施联通能降低研发成本,促使企业加大研发投入,提高创新水平(李芳芳和冯帆,2023)。此外,设施联通能够促进市场深度融合、要素自由流动、资源高效配置、信息快速传递,拓展创新国际合作的空间格局,为知识与技术扩散提供便利条件,为创新应用提供广阔空间。因此,设施联通更多的国家可能更有利于创新国际化。本文使用世界银行提供的班轮运输连通性指数代替设施联通,将样本分为设施联通多和设施联通少两个子样本进行检验。表14第(1)列设施联通多的子样本中,TREAT×POST的系数在1%水平上显著为正,第(2)列设施联通少的子样本中,TREAT×POST的系数不显著,表明“一带一路”倡议对创新国际化的影响在设施联通更多的国家中更加明显。
表14 基于设施联通和研发投入强度的异质性分析

注:***、**、*分别代表1%、5%、10%的显著性水平(双尾);所有t值经过White稳健调整。
4.研发投入强度
东道国较高的研发投入意味着其拥有更充足的知识基础和较强的创新能力,更能吸引其他国家与其建立创新合作关系,促进技术进步和创新国际化。因此,“一带一路”倡议对创新国际化的积极影响可能在研发投入强度高的东道国更为明显。本文使用世界银行提供的各国研发支出占GDP比例衡量研发投入强度,将其分为研发投入强度高和研发投入强度低两个子样本。表14的第(3)列研发投入强度高的子样本中,TREAT×POST的回归系数在1%水平上显著为正,在第(4)列研发投入强度低的子样本中,TREAT×POST的回归系数不显著,表明“一带一路”倡议对创新国际化的影响主要在研发投入强度高的国家中作用更加明显。
本文基于2009~2022年国家层面数据,以国际专利作为创新国际化的代理变量,将“一带一路”倡议作为准自然实验,采用多时点双重差分法,探讨了“一带一路”倡议对创新国际化的影响。本文的研究发现如下:第一,“一带一路”倡议显著促进了中国在东道国的创新国际化。第二,“一带一路”倡议对创新国际化的积极影响在创新能力较强的东道国更明显。第三,机制检验发现,“一带一路”倡议通过提升贸易自由度,促进了创新资源随国际贸易流动和扩散,进而促进了创新国际化。第四,“一带一路”倡议对创新国际化的促进作用主要体现在地理距离较近、双边贸易较多、设施联通较多、研发投入强度较高的国家。
本文发现具有以下启示:第一,持续推进“一带一路”倡议高质量发展,不断深化共建“一带一路”科技创新合作,构建“一带一路”科技创新共同体。第二,贸易畅通是“一带一路”倡议提升创新国际化的重要路径,因此,相关部门应总结“一带一路”倡议经验,配套相关措施促进贸易畅通,提高贸易自由化和便利化,促进创新要素的国际流动和创新知识的空间溢出,进而提升我国在国际上配置创新资源的能力,提高创新国际化。第三,“一带一路”倡议对创新国际化的促进作用在不同国家存在显著差异,因此我国企业进入国际市场进行创新国际化,应关注东道国具体情况制定差异化的创新合作策略,优先选择地理距离较近、双边贸易较多、设施联通较多、研发投入强度较高的国家进行创新国际化。最后,政府部门应搭建科技创新合作平台,构建“一带一路”创新合作网络,加强科技创新转移制度和机制建设,继续完善与东道国的知识产权保护合作,多措并举为创新国际化创造良好环境。
本文可能存在如下局限性,有待未来研究解决:第一,本文研究了宏观层面的“一带一路”倡议对创新国际化的影响。由于未能获取企业微观层面的PCT国际专利数据,故未能分析“一带一路”倡议对企业层面的创新国际化的影响。未来的研究可以从企业微观层面进行补充。第二,本文采用了中国在东道国的PCT国际专利申请数量衡量创新国际化,未来的研究可以采用更多指标更全面刻画创新国际化,比如,可以收集国际研发投入、国际专利获得数量、国际专利引用量等数据对创新国际化的投入、绩效等进一步拓展研究。第三,本文从贸易畅通角度探讨了“一带一路”倡议影响创新国际化的作用机制,未来的研究可以继续挖掘其他可能的影响渠道,进一步丰富“一带一路”倡议对创新国际化的影响机制。第四,为解决各个国家或地区加入“一带一路”倡议可能导致的自选择问题,未来的研究可尝试使用工具变量法(如各国与中国历史丝绸之路贸易强度)来缓解。第五,有些国家虽然签署了“一带一路”倡议的相关文件,但实际参与度较低,这可能会给处理组的定义带来一定的测量误差。但是,目前并没有公开划分“一带一路”核心区域以及最广泛认可的“一带一路”沿线国家名单,所以未来的研究可就此进一步进行深入研究(1)。最后,本文的结果表明创新国际化在地理距离、双边贸易、设施联通、研发投入强度等不同国家存在差异,未来可从这方面进行深入探讨。
[1]曹玉鹏,郭德友,于博.商贸企业参与“一带一路”建设的财务影响及其动因研究[J].财务研究,2025,(1):100-112.
[2]陈欣.“一带一路”沿线国家科技合作网络比较研究[J].科研管理,2019,40(7):22-32.
[3]陈衍泰,吴哲,范彦成,戎珂.研发国际化研究:内涵、框架与中国情境[J].科学学研究,2017,35(3):387-395.
[4]陈紫若,盛伟,张先锋.全球贸易协定网络对国际创新活动的不对称影响——基于制度环境的视角[J].中国工业经济,2022,(4):80-98.
[5]杜红平,王元地,陈劲,金珺.跨国企业创新国际化的动机研究综述[J].软科学,2015,29(3):130-134.
[6]韩剑,王星媛,张中意.专利审查高速路与中国“技术出海”——基于谷歌专利云数据的分析[J].管理世界,2023,39(4):47-65.
[7]黄宏斌,李圆圆,许晨辉.“一带一路”倡议推动了我国企业的跨国协同创新吗?[J].财经研究,2024,50(6):108-122.
[8]李芳芳,冯帆.“一带一路”倡议、数字化转型与中国企业创新[J].经济与管理研究,2023,44(9):85-105.
[9]李光勤,储梦君,牛雯琦.“一带一路”倡议与沿线国家创新能力:基于双重差分法的检验[J].上海交通大学学报(哲学社会科学版),2023,31(12):113-131.
[10]李宏,吴东松.我国OFDI逆向技术溢出对国内产品质量的影响[J].现代财经(天津财经大学学报),2020,40(11):68-78.
[11]李延喜,李笑冲,史金艳.“一带一路”倡议、风险容忍与企业创新效率[J].科研管理,2020,41(6):65-79.
[12]李泽鑫,赵忠秀.贸易便利化促进了创新高质量发展吗[J].经济学动态,2023,(9):17-32.
[13]刘卫东,李婧,肖国华,宋周莺,曲建升.“一带一路”科技合作新格局构建研究[J].中国科学院院刊,2023,38(9):1246-1255.
[14]刘雅珍,徐森,丁雪.国际信任影响了国际创新合作吗?——基于中国经验的实证研究[J].国际商务研究,2024,45(4):33-48.
[15]刘云,叶选挺,杨芳娟,谭龙,刘文澜.中国国家创新体系国际化政策概念、分类及演进特征——基于政策文本的量化分析[J].管理世界,2014,(12):62-69.
[16]刘振,黄丹华.“一带一路”参与、高管海外背景与企业技术创新[J].管理科学,2021,34(4):71-88.
[17]吕越,田冀霖.“一带一路”倡议对企业高质量创新的影响研究[J].国际经贸探索,2023,39(9):33-48.
[18]欧阳艳艳.中国对外直接投资逆向技术溢出的影响因素分析[J].世界经济研究,2010,(4):66-71.
[19]沈能,彭慧,姚炯.多渠道国际研发溢出与创新效率空间收敛研究[J].科学学研究,2019,37(6):1091-1101.
[20]司月芳,黄骏,孟琦.全球创新格局演变视角下中国海外知识获取的空间分布与影响因素研究[J].地理研究,2023,42(7):1793-1809.
[21]司月芳,延留霞,张翌.中资企业研发国际化研究述评[J].地理研究,2020,39(5):1056-1069.
[22]万源星,王怡舒,刘云.股票市场开放与企业研发国际化——来自沪深港通的证据[J].科研管理,2023,44(5):96-104.
[23]王桂军,卢潇潇.“一带一路”倡议可以促进中国企业创新吗?[J].财经研究,2019,45(1):19-34.
[24]王雄元,卜落凡.国际出口贸易与企业创新——基于“中欧班列”开通的准自然实验研究[J].中国工业经济,2019,(10):80-98.
[25]王叶,张天硕,曲如晓.知识产权示范城市与创新国际化——来自海外专利申请的证据[J].北京工商大学学报(社会科学版),2022,37(5):114-126.
[26]王颖,吕婕,唐子仪.中国对“一带一路”沿线国家直接投资的影响因素研究——基于东道国制度环境因素[J].国际贸易问题,2018,(1):83-91.
[27]王展硕,谢伟.中国企业研发国际化研究的综述与展望[J].研究与发展管理,2017,29(6):121-132.
[28]温军,张森.经济开放度与中国国际技术创新——基于省际PCT国际专利申请数据的经验研究[J].国际贸易问题,2018,(11):120-131.
[29]夏先良.创新全球化对中国的挑战与机遇[J].安徽师范大学学报(人文社会科学版),2014,42(6):737-745.
[30]谢刚,邰季雯,李文鹣.“一带一路”背景下数字通信领域跨国专利合作特征及网络演化研究[J].技术经济,2022,41(2):15-25.
[31]徐晨,吕萍.创新国际化行为对创新绩效的影响研究[J].管理评论,2013,25(9):40-50.
[32]杨波,李波.“一带一路”倡议与企业创新升级[J].科研管理,2021,42(1):47-56.
[33]杨博旭,王玉荣,李兴光.多维邻近与合作创新[J].科学学研究,2019,37(1):154-164.
[34]杨修,朱晓暄.创新国际化对出口多样化的影响[J].软科学,2019,33(1):6-9.
[35]余长林,孟祥旭.“一带一路”倡议如何促进中国企业创新[J].国际贸易问题,2022,(12):130-147.
[36]岳书敬.中国区域研发效率差异及其影响因素——基于省级区域面板数据的经验研究[J].科研管理,2008,(5):173-179.
[37]曾雪云,叶滨.社交媒体应用、吸收能力与企业综合创新——来自中小微企业的经验证据[J].财务研究,2024,(3):38-51.
[38]张明倩,邓敏敏.中国与“一带一路”沿线国家跨国专利合作特征研究[J].情报杂志,2016,35(4):37-42.
[39]张明倩,柯莉.“一带一路”跨国专利合作网络及影响因素研究[J].软科学,2018,32(6):21-25.
[40]赵甜,曹守新.“一带一路”倡议对中国企业创新效率的影响研究[J].国际贸易,2023,(12):61-71.
[41]周茂,武家辉,李雨浓,李丁.共建“一带一路”与互联互通深化——基于沿线国家间的视角[J].管理世界,2023,39(11):1-21.
[42]朱兢,肖婧文,付晓蓉.“一带一路”视角下高水平外循环与企业技术创新[J].科研管理,2022,43(5):121-130.
[43]Awate, S., Larsen, M., Mudambi, R. Accessing vs sourcing knowledge: A comparative study of R&D internationalization between emerging and advanced economy firms[J]. Journal of International Business Studies, 2015, 46: 63-86.
[44]Cantwell, J., Piscitello, L. Recent location of foreign-owned research and development activities by large multinational corporations in the European regions: The role of spillovers and externalities[J]. Regional Studies, 2005, 39(1): 1-16.
[45]Cohen, W. M., Levinthal, D. A. Absorptive capacity: A new perspective on learning and innovation[J]. Administrative Science Quarterly, 1990, 35(1): 128-152.
[46]Grossman, G. M., Helpman, E. Trade, innovation, and growth[J]. American Economic Review, 1990, 80(2): 86-91.
[47]Li, J., Qin, X., Tang, J., Yang, L. Foreign trade and innovation sustainability: Evidence from China[J]. Journal of Asian Economics, 2022, 81: 101497.
[48]Minin, A. D., Zhang, J. Y., Gammeltoft, P. Chinese foreign direct investment in R&D in Europe: A new model of R&D internationalization?[J]. European Management Journal, 2012, 30(3): 189-203.
[49]Shimizutani, S., Todo, Y. What determines overseas R&D activities?The case of Japanese multinational firms[J]. Research Policy, 2008, 37(3): 530-544.
[50]Urbig, D., Procher, V. D., Steinberg, P. J., Volkmann, C. The role of firm-level and country-level antecedents in explaining emerging versus advanced economy multinationals’ R&D internationalization strategies[J]. International Business Review, 2022, 31(3): 101954.
[51]White, H. A heteroskedasticity-consistent covariance matrix estimator and a direct test for heteroskedasticity[J]. Econometrica, 1980, 48(4): 817-838.
The Belt and Road Initiative and Internationalization of Innovation
DU Xingqiang, LAI Shaojuan, YAN Weiyan
Abstract: The Belt and Road Initiative (BRI) promotes the international flow and allocation of innovation resources as well as international innovation cooperation, presenting new opportunities for China’s innovation internationalization. Using the BRI as a quasi-natural experiment, this study employs a staggered difference-in-difference (DID) model to empirically examine its impact on China’s innovation internationalization. The findings reveal that the BRI significantly increased China’s international patent applications based on the Patent Cooperation Treaty (PCT) in host countries, suggesting that the BRI promotes China’s innovation internationalization. Moreover,the positive impact of the BRI on China’s innovation internationalization is more pronounced in host countries with stronger innovation capabilities. The channel test indicates that the BRI enhances internationalization of innovation by increasing trade liberalization. Heterogeneity analyses show that the positive effect of the BRI on internationalization of innovation is more pronounced in host countries that have closer geographical distances, higher bilateral trade volumes, greater infrastructure connectivity, and higher R&D intensity. Our study reveals the role of BRI in promoting the internationalization of innovation and its influencing mechanism, expands prior literature, and provides insights into the high-quality development of BRI and innovation internationalization.
Key words: The Belt and Road; internationalization of innovation; innovation capacity; trade freedom
(责任编辑 杨亚彬)
(1) 本文基于2018年及之前加入“一带一路”的国家(合作意愿更强)界定处理组进行敏感性测试,假设1和假设2依然被支持。
附件下载:相关推荐
主办单位:中国财政杂志社
地址:中国北京海淀区万寿路西街甲11号院3号楼 邮编:100036 互联网新闻信息服务许可证:10120240014 投诉举报电话:010-88227120
京ICP备19047955号
京公网安备 11010802030967号网络出版服务许可证:(署)网出证(京)字第317号
投约稿系统升级改造公告
各位用户:
为带给您更好使用体验,近期我们将对投约稿系统进行整体升级改造,在此期间投约稿系统暂停访问,您可直接投至编辑部如下邮箱。
中国财政:csf187@263.net,联系电话:010-88227058
财务与会计:cwykj187@126.com,联系电话:010-88227071
财务研究:cwyj187@126.com,联系电话:010-88227072
技术服务电话:010-88227120
给您造成的不便敬请谅解。
中国财政杂志社
2023年11月
京公网安备 11010802030967号
互联网新闻信息服务许可证:10120240014
网络出版服务许可证:(署)网出证(京)字第317号