当前位置:首页 > 用户服务 > 过刊查询 > 财务与会计过刊查询 > 《财务与会计》2024年第12期 > 《财务与会计》2024年第12期文章 > 正文时间:2024-06-26 作者:余芬
[大]
[中]
[小]
摘要:
商业银行数据资产入表路径探讨
余芬
作者简介:余 芬,徽商银行股份有限公司财务会计部总经理助理,高级会计师,安徽省高端会计人才(第一期)学员。
摘要:数据资产入表对商业银行数字化转型具有实质性的推动作用,本文基于数据资产对商业银行转型发展的特殊意义,围绕场景化数据资产的挖掘、数据资产的权属清晰化、对数据资产价值的公正评估及准确可靠的数据资产核算与全面的信息披露等四个关键环节,提出商业银行数据资产入表的路径;从数据资产确权、定价、交易流通、收益分配、数据安全、估值模型和定价技术等方面,为商业银行数据资产入表提供建议。
关键词:数据资产;场景化;数据确权;数据估值
中图分类号:F830.33 文献标志码:A 文章编号:1003-286X(2024)12-0049-03
随着大数据分析、移动网络、人工智能、区块链和边缘计算等数字科技的进步,数字经济产业已展现出强大的产业韧性和广泛的带动效应,给商业银行发展提供了机遇和驱动力,激发商业银行探索智慧化和智能化转型之路。面对数字经济所带来的多重机遇和变革,商业银行应积极将业务经营过程中积累的天然数据资源转换成有价值的数据资产,准确计量和披露数据...
商业银行数据资产入表路径探讨
余芬
作者简介:余 芬,徽商银行股份有限公司财务会计部总经理助理,高级会计师,安徽省高端会计人才(第一期)学员。
摘要:数据资产入表对商业银行数字化转型具有实质性的推动作用,本文基于数据资产对商业银行转型发展的特殊意义,围绕场景化数据资产的挖掘、数据资产的权属清晰化、对数据资产价值的公正评估及准确可靠的数据资产核算与全面的信息披露等四个关键环节,提出商业银行数据资产入表的路径;从数据资产确权、定价、交易流通、收益分配、数据安全、估值模型和定价技术等方面,为商业银行数据资产入表提供建议。
关键词:数据资产;场景化;数据确权;数据估值
中图分类号:F830.33 文献标志码:A 文章编号:1003-286X(2024)12-0049-03
随着大数据分析、移动网络、人工智能、区块链和边缘计算等数字科技的进步,数字经济产业已展现出强大的产业韧性和广泛的带动效应,给商业银行发展提供了机遇和驱动力,激发商业银行探索智慧化和智能化转型之路。面对数字经济所带来的多重机遇和变革,商业银行应积极将业务经营过程中积累的天然数据资源转换成有价值的数据资产,准确计量和披露数据资产,展示数字竞争优势,为宏观金融管理和微观经营决策提供重要的会计信息支撑。
(一)加大数据资产的采集、开发和利用
商业银行在业务经营管理过程中沉淀了海量数据,如客户基本经营情况、消费偏好、资金流向数据、信用等级数据等,其数据规模、质量和结构均占据举足轻重的地位。但在多数商业银行中,数据的源头和概貌往往没有得到充分的解析和理解,数据被分散存储在多个独立的系统中,数据资产“有什么,是什么,在哪里,怎么用”的问题没厘清,导致数据未能有效地融入到业务流程中,缺乏有效的业务应用。那么,如何引导商业银行的数据逐步转化为有价值的数据资产呢?
首先,提升数据挖掘效率。商业银行应对其运营流程的各个环节生成的信息进行全方位的量化采集和提取,并在必要时引入第三方数据以丰富数据的结构。同时,利用数据技术对数据资产进行登记和盘点,解决数据资产“有什么”的问题。
其次,将数据进行数字化处理。通过多种数据标签、数据字典等,使数据准确记录、妥善存储,还可以有效追踪和便捷运用,解决数据资产“是什么”的问题。
再次,建立数据资产目录和全景化视图。全面、清晰地展现数据资产全貌,建立和完善数据资产管理体系,解决数据资产“在哪里”的问题。
最后,搭建数据资产的应用场景,这是数据资产蜕变的重要步骤。商业银行数据资产的应用场景主要包括精准营销、风险管控、优化运营等。商业银行应以价值创造为经营理念,结合银行业务特点,设计出符合内部需要或市场需求的数据应用场景,再将数据纳入应用场景中运用算法提取价值,解决数据资产“怎么用”的问题。
(二)清晰界定数据资产的权利
外部方面,要分清数据所有者的数据控制权和数据分析者的数据管理权。商业银行经营过程中沉淀的、与客户本身或行为直接相关的源数据,其控制权应归属于客户,客户可以知悉、使用、转移、分析源数据,商业银行应为客户有效行使这些权利提供便利。经客户授权后商业银行可以在内部范围直接使用。在符合监管要求的前提下,商业银行对源数据进行不可复原的脱敏处理后,再进行组合、加工、打标、建模,产生的集合数据的使用权和管理权应属于商业银行。对于从第三方服务机构购买的数据资产,商业银行可直接或加工后用于业务分析、产品推广和风险防控等日常经营管理活动中。为避免数据资产所有权被让渡、数据被滥用,数据资产交易双方应在购买时明确交易的权利和义务。
表1 基于应用场景的超额收益判断要点

内部方面,商业银行应确定内部不同数据关联方的权利和义务,建立收益分配机制。一方面,应确定商业银行数据的内部所有者,即数据的发源部门。例如,零售银行部、个人信贷部分别是个人存、贷款类数据的所有者,公司银行部是企业信贷数据的所有者,金融市场部是投资数据的所有者。内部所有者负责解读数据资产的业务逻辑和深入分析数据结构,制定数据采集的规范和标准,并提供将其场景化的业务逻辑,有权使用该数据资产,并享有数据在商业银行内部流通中的收益分配权。另一方面,商业银行还应设置大数据管理部门,牵头负责对企业级数据的统一管理,包括制定全行级的数据标准和字典,协助内部所有者整合、加工、完善数据资产,建立数据中台和数据集市,促进数据资产在商业银行内部的流动和使用,并享有管理收益权。对于从第三方服务机构购买的数据资产,如果是商业银行统一购买、多部门共同使用,则建议由大数据管理部作为内部所有者,若是专项购买的数据资源,建议由使用部门作为内部所有者。
(三)合理进行数据资产价值评估
基于现有学术界和实务界的方法论,本文提出以下几种评估模型供参考。
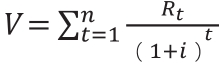
1.自用型数据资产估值模型。自用型数据资产为商业银行的经营带来了不同程度的新增客户量和新增业务量,能有效控制信用风险带来的减值损失,还能赋能内部管理,节约管理成本,带来商业银行净利润的提升。对于该类数据资产,可采用超额收益法来评估,即以数据资产在未来年度为商业银行带来的超额收益作为评估基础。计算公式为:。
其中,V是数据资产价值,Rt是第t期数据资产带来的超额收益,t是收益期,n是数据资产剩余的使用年限,i是折现率。该模型的关键点是超额收益的确认,商业银行应结合数据资产的场景化运用,准确地判断未来超额收益情况,判断要点如表1所示。
2.交易型数据资产估值模型。交易型数据资产的价值受市场竞争格局、资产稀缺程度、场景适应性和应用前景、权属、法律环境、交易意愿等一系列因素影响。对于市场活跃程度较高的交易型数据资产,可以采用市场法进行评估,即从要素交易市场中选取多个与该类数据资产规格、标准、用途相似的产品作为可比产品,以可比产品的成交价作为参照,结合可比资产的相似程度为权重,测算出该数据资产的价值。计算公式为:V=V1×W1+V2×W2+……+Vn×Wn。
其中,V是数据资产价值,Vn是可比资产的交易价格,Wn是可比资产的相似程度。
对于市场活跃程度不高的数据资产,可以从影响数据资产价值的成本、使用价值和或有风险入手,再辅以成本、使用价值和或有风险的影响权重,测算出该数据资产的价值。计算公式为:V=C×W1+U×W2−R×W3。
其中,C是数据资产的成本,包括数据采集、管理、储存、维护、更新、分析、建模过程中的建设成本、维护成本或直接采购成本;U是使用价值,即数据资产为企业创造的收益,可以运用采用超额收益法计算;R是或有风险,即使用该数据资产可能面临的法律诉讼、安全问题等产生的预计负债;W是各成本影响因素的权重系数,可以通过专家打分法获取。
(四)准确核算和充分披露数据资产
1.数据资产确认、计量的注意要点。一是要恰当分割多用途数据资产的确认金额。当数据资产同时具有两种用途且分别符合无形资产或者存货资产的确认条件时,应识别不同用途的成本支出,再分别确认为无形资产和存货资产。对难以明确界定为某一用途的成本支出,可根据生产数据或者经验值赋予其合理比例进行分配,如预估数据资产内部使用创造的价值和外部交易获得的价值补偿,将预估的价值占比作为分割的参考比例。二是合理进行可多次转让的数据资产的成本结转。基于成本与收入配比的原则选择适当的方法将可复制、可反复出售的数据资产的账面价值转入当期损益,如按照预测的销售次数、预计使用年限等,采用多次摊销的方法结转其账面价值。
表2 基于业务应用场景的数据资产情况表

2.数据资产的披露。除《企业数据资源相关会计处理暂行规定》要求的基本披露信息外,商业银行还应以场景为维度,尽可能详尽地披露数据资产的价值创造形式、评估模型、评估价值、建设成本(含后期维护成本)、应用价值、风险成本及其变化情况、所有权和使用权的确权情况。对于评估增值较大、账面价值与评估价值差异较大的数据资产,还应说明变化原因和差异原因、具体评估方法、数据资产应用相关宏观经济或行业情况、要素市场交易情况。建议基本格式如表2所示。
在数字经济的时代背景下,商业银行应主动而为,以数据资产化为契机,推动业务的转型与革新。一是以场景为轴心,加速数据资产化,实现数据价值递增。二是明确数据资产的权属划分,保护数据相关方的权利,夯实数据确认、计量的基础。三是积极探索不同的商业模式和应用场景的数据资产的估值方法。四是通过完善报表附注的披露,合理反映数据资产价值变动情况。相关机构应陆续推出数据资产确权、定价、交易流通、收益分配、数据安全等方面的规范,构筑数据安全红线,推动金融数据资产流通和价值释放。同时,引导商业银行积极探索和优化数据资产的估值模型和定价技术,作为数据市场的参与者,利用金融数据优势,提升数据市场的活跃度,持续优化交易环境。
责任编辑 林荣森
[1]本刊.数据之光·解锁未来——商业银行数据要素研究成果研讨会暨发布会[J].银行家,2022,(12):36-51.
[2]金旭君,沈叶红,陆思怡.商业银行数据资产管理能力评价研究——基于DCAM的数据管理框架展开[J].浙江金融,2022,(6):15-28.
[3]季周,李琳.会计视角下数据资产化路径探索[J].财务与会计,2022,(16):38-41.
附件下载:相关推荐
主办单位:中国财政杂志社
地址:中国北京海淀区万寿路西街甲11号院3号楼 邮编:100036 互联网新闻信息服务许可证:10120240014 投诉举报电话:010-88227120
京ICP备19047955号
京公网安备 11010802030967号网络出版服务许可证:(署)网出证(京)字第317号
投约稿系统升级改造公告
各位用户:
为带给您更好使用体验,近期我们将对投约稿系统进行整体升级改造,在此期间投约稿系统暂停访问,您可直接投至编辑部如下邮箱。
中国财政:csf187@263.net,联系电话:010-88227058
财务与会计:cwykj187@126.com,联系电话:010-88227071
财务研究:cwyj187@126.com,联系电话:010-88227072
技术服务电话:010-88227120
给您造成的不便敬请谅解。
中国财政杂志社
2023年11月
京公网安备 11010802030967号
互联网新闻信息服务许可证:10120240014
网络出版服务许可证:(署)网出证(京)字第317号